Gli integrali rappresentano probabilmente uno degli argomenti più difficili ma intriganti dell’analisi matematica …
IO ADORO GLI INTEGRALI!!!!
Non arrenderti alla prima difficoltà!
MAI! … neanche nella vita!!!
Si tratta solo di iniziare dall’inizio e provare a capire il concetto…
… poi occorre come sempre tanta tanta pratica…
Proverò a seguirti passo dopo passo… ma tu non tralasciare nulla!
Lezione 1. (definizione e prime regole)
PRIMO STEP
In questa lezione imparerai la definizione di integrale indefinito e imparerai ad utilizzare le prime regole di integrazione per le funzioni più semplici!
Non sottovalutare comunque questo primo step perché rappresenta la base di partenza per tutte le altre lezioni
Non sottovalutare mai i primi step nella vita!
Ecco la definizione di Integrale Indefinito:

Sei curioso di capire cosa significa?
guarda il video della prima lezione:
primo step (definizione di integrale indefinito)
Ecco qui un piccolo schema con le prime due regole di integrazione:

ed. ecco un’operazione importantissima: una costante si può portare fuori dal segno di integrale:

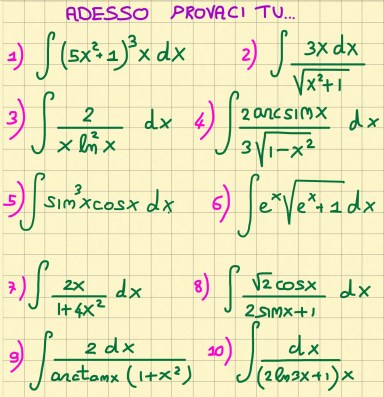
Prova subito ad esercitarti:

Infine, un piccolo richiamo delle proprietà delle potenze utile per risolvere molti integrali:

scarica la lezione completa in PDF
U1Integrali indefiniti ( primo step_ definizione e immediati)
(aggiornato al 23 marzo 2017)
(con le soluzioni dei provaci tu…)
Lezione 2.
(integrali goniometrici ed esponenziali)
SECONDO STEP

Sopravvissuto al primo step?
Come è andata?
Racconta… riesci a fare i primi esercizi?
Certo che si!!!!
SEMPRE POSITIVI!!!!
Dopo aver acquisito il concetto di integrale indefinito ed imparato ad utilizzare le prime regole conosciute come: “integrali immediati” puoi passare al secondo step..
“Attenzione a non fare confusione…
… le prime volte ti verrà spontaneo trovare la derivata piuttosto che l’integrale…
… è normale! … è l’abitudine!
E noi dobbiamo imparare ad andare OLTRE!!”
In questi esercizi devi pensare al contrario.. strano vero?
Ma è molto utile anche nella vita!
“E’ come pensare prima all’effetto e poi alla causa… prima di prendere una decisione…
… è come conoscere prima il luogo dove vuoi arrivare e poi scegliere la strada giusta…”
E in matematica?
…è come trovare la domanda quando conosci la risposta…
… come rispondere “sei per otto” alla domanda “48?”
Ebbene: quando risolvi l’integrale di f(x) devi trovare la funzione primitiva F(x), ovvero la funzione che ha per derivata f(x)… cioè ragazzi, conoscete il risultato di una derivata e dovete trovare la funzione F(x) che ha per derivata f(x) …
Lo so può sembrare difficile…. ma è importante!!
In questa nuova lezione imparerai ad utilizzare le regole di integrazione per le funzioni esponenziali e goniometriche (non sono le più semplici… occhio alle regole che riguardano la tangente e la cotangente e soprattutto quelle relative alle funzioni circolari inverse: arcoseno e arcotangente… )
“Non ti arrendere alle prime difficoltà…
…se non ami la goniometria, non tralasciare questa lezione… non è necessario conoscere tutti i segreti.. io proverò a ricordarti le regole essenziali che possono servirti nel calcolo integrale…”
Cosa aspetti?
Guarda il prossimo video con atteggiamento positivo…
“… la matematica può e deve essere accessibile a tutti!!”
Buona visione…
guarda il video della seconda lezione:
secondo step (integrali goniometri ed esponenziali)

scarica la lezione in PDF
U2Integrali indefiniti (secondo step)
(aggiornato al 21 marzo 2017)
Lezione 3. Step 3. Parte 1 e 2
Integrali di funzioni composte

Se hai superato le prime due lezioni, puoi passare al prossimo step…
Adesso il gioco si fa più duro!
… “questa è la matematica e questa è la vita!”
Ma noi siamo qui per imparare e non temiamo nulla!
Noi dobbiamo diventare grandi!!!
“La matematica può indicarci una strada per affrontare gli ostacoli: basta conoscere le regole del gioco e fare tanta tanta pratica!!!”
Io sono certo che tu supererai anche questo ostacolo!
Nella terza lezione imparerai a risolvere i primi esercizi sugli integrali di funzioni composte.
Fai molta attenzione a questa lezione perché imparerai due delle regole più importanti del calcolo integrale… adesso devi solo imparare ad usare queste regole, ma in futuro dovrai essere in grado di riconoscere quando è il momento di utilizzarle…

guarda i primi 2 video della terza lezione:
integrali indefiniti (terzo step, regola 1)
integrali indefiniti (terzo step, regole 2 e 3)

Se hai seguito bene, sei pronto a svolgere da solo i seguenti esercizi:

ed ecco qui nuovissimi “provaci tu…” sugli integrali esponenziali (regola n°3)

scarica la lezione in PDF
(con le soluzioni dei provaci tu…)
U3Integrali di funzioni composte ( terzo step, regole 1,2 e 3)
(aggiornato al 2 aprile 2017)
Lezione 4. Step 3. Parti 3 e 4
Integrali Goniometrici

.A questo punto possiamo giocare con le funzioni goniometriche composte… guarda un pò queste prime regole schematizzate:

Come vedi il meccanismo è sempre lo stesso… basta ricordare gli integrali immediati e la regola degli integrali di funzioni composte.
Io ti consiglio comunque di esercitarti tantissimo, perché non è facile riconoscere tutti i casi.
guarda il primo video della quarta lezione:
(terzo step, parte 3: integrali goniometrici composti)
scarica la lezione in PDF
(con le soluzioni dei provaci tu…)
U4Integrali indefiniti (terzo step, composte, regole 4-9)
(aggiornato al 2 aprile 2017)
e non finisce qui…
nella stessa lezione le ultime interessantissime regole..
guarda il secondo video della quarta lezione:
terzo step (parte 4, funzioni circolari inverse composte)
Lezione 5. Quarto step
Integrali di funzioni razionali fratte
work in progress
guarda il primo video della quinta lezione:
quarto step (integrali di funzioni razionali fratte 1)
guarda il secondo video della quinta lezione:
quarto step (integrali di funzioni razionali fratte 2)
guarda il terzo video della quinta lezione:
quarto step (integrali di funzioni razionali fratte 3)
scarica la lezione in PDF
(con le soluzioni dei provaci tu…)
U5_Integrali indefiniti (quarto step, razionali fratte)
(aggiornato al 10 aprile 2017)
Lezione 6. Quinto step
Integrali per sostituzione
…. work in progress …
guarda il video della sesta lezione:
quarto step (integrali per sostituzione 1)
scarica la lezione in PDF
(con le soluzioni dei provaci tu…)
UNITA’6 (quinto step_ per sostituzione)
(aggiornato al 29 MAGGIO 2017)
Lezione 7. Integrali per parti
guarda il video della settima lezione:
scarica la lezione in PDF
(con le soluzioni dei provaci tu…)
UNITA’7 Integrali indefiniti (per parti)
(aggiornato al 28 MAGGIO 2017)
Lezione 8.
approfondimenti (particolari funzioni irrazionali)
…. work in progress …
Lezione 9. Integrali definiti
…. work in progress …
Lezione 10. teoremi su integrali definiti
guarda il video della settima lezione:
Teorema della media e teorema di Torricelli
scarica la lezione in PDF
Integrali definiti ( definizione e teoremi)
(aggiornato al 02 maggio 2017)
Lezione 11. Calcolo di aree e volumi
…. work in progress …
… ci vediamo nel futuro!

Hello admin, i must say you have hi quality content
here. Your page can go viral. You need initial traffic only.
How to get it? Search for; Mertiso’s tips go viral
"Mi piace""Mi piace"
sei davvero quello che i professori di analisi dovrebbero essere: Completo, chiaro e zelante.
"Mi piace""Mi piace"